/images/s.png)
國務院定調,57萬億基建狂潮來襲!
發布時間:2025-09-29
8月18日,國務院總理李強主持召開國務院第九次全體會議。會上,李強指出:
要抓住關鍵著力點做強國內大循環,以國內大循環的內在穩定性和長期成長性對沖國際循環的不確定性。
加力擴大有效投資,發揮重大工程引領帶動作用,適應需求變化更多投資于人、服務于民生,積極促進民間投資。
縱深推進全國統一大市場建設,不斷釋放超大規模市場紅利。
采取有力措施鞏固房地產市場止跌回穩態勢,結合城市更新推進城中村和危舊房改造,多管齊下釋放改善性需求。
值得注意的是,會議明確將基建投資作為“做強國內大循環”的重要著力點之一,特別提出要“結合城市更新穩步推進城中村改造”。這一政策導向與國家發改委、交通運輸部等近期出臺的一系列基建支持措施形成協同。
57萬億投資計劃:24省市按下基建加速鍵
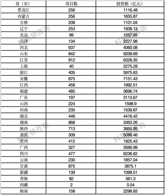
重大項目是經濟發展的重要支點,也是高質量發展的關鍵抓手。經建筑時報統計,截至目前,全國已有24個地區發布2025年重點工程項目相關投資計劃,重點項目合計超1.9萬個,總投資額合計達57.5萬億元。

北京
經北京市委常委會審議通過,2025年“3個100”市重點工程計劃發布。2025年北京將集中推進100個重大科技創新及現代化產業項目、100個重大基礎設施項目和100個重大民生改善項目,以重大項目帶動擴大有效投資,總投資約1.4萬億元,當年計劃完成投資支撐全市投資三成以上。
上海
上海市發展和改革委員會公布2025年上海市重大工程清單。2025年上海市重大工程計劃安排正式項目186項,其中科技產業類66項,社會民生類27項,生態文明建設類15項,城市基礎設施類65項,城鄉融合與鄉村振興類13項;另計劃安排預備項目35項。全年安排市重大工程投資計劃2400億元,全力推動重大項目建設增速提效。
天津
天津市發展改革委發布2025年重點建設、重點儲備項目安排意見,共計1129個項目、總投資2.02萬億元。其中,包括重點建設項目854個,總投資1.52萬億元,年度計劃投資2209.07億元,均為在建續建或即將開工項目;重點儲備項目275個,總投資4992.26億元。
重慶
據重慶市發展改革委消息,2025年重慶計劃實施“四個一批”市級重點項目共1568個,總投資約4.4萬億元,年度計劃投資4800億元,同比增長5.8%,這些項目圍繞“六區一高地”任務部署,涵蓋制造業、科技創新、基礎設施、社會民生等19個行業領域。在打造西部地區高質量發展先行區方面,重慶將實施項目415個。
江蘇
江蘇省發改委印發2025年省重大項目清單,2025年擬安排省重大實施項目500個、同比增加50個,年度計劃投資6526億元、同比增加118億元,儲備項目100個、同比增加40個。其中,蘇州、無錫、南通、常州四市實施項目超過40個,鹽城、無錫、南京三市年度投資達到400億元左右。
浙江
浙江省發改委印發擴大有效投資“干項萬億”工程2025年重大建設項目實施計劃項目表,第一批重大項目1364個,總投資額達7.5萬億元,年度計劃投資1.15萬億元。
項目呈現“大、優、高”三個特點。一是規模“大”,第一批項目數比2024年增長23.9%、總投資增長9.2%、年度計劃投資增長11.5%,其中100億元以上大項目基礎設施項目71個、50億元以上產業項目101個;二是結構“優”,產業項目占比56.8%,其中,先進制造業項目426個,民生項目占比10.5%;三是質量“高”,新質生產力項目占比29%。
安徽
安徽省人民政府印發安徽省2025年重點項目清單,項目共計1581個。安徽省人民政府表示,各地、各部門要把擴大有效投資作為關鍵之舉,聚焦新興產業、重大基礎設施、服務業、社會民生等領域,推動重點項目建設提速提質提效。此外,今年第一批安徽省重點項目總投資3.5萬億元,年度計劃投資5994.3億元。
陜西
2025年陜西省安排省級重點項目616個、總投資28762億元、年度計劃投資4917億元,其中產業類項目總投資12328億元、占全部項目總投資的43%,基礎設施類項目總投資7766億元、占全部項目總投資的27%,民生保障類項目總投資8668億元、占全部項目總投資的30%。
山西
山西省人民政府辦公廳印發2025年省級重點工程建設項目名單,包括611個省級重點工程項目。其中,產業轉型類項目277項,能源革命類項目65項,科教人才類項目57項,基礎設施類項目121項,社會民生類項目91項。
此外,《山西省2025重大項目建設年行動方案》提出,省級重點工程完成投資3687億元以上,占固定資產投資比重達到40%以上。
山東
山東省人民政府印發《關于下達2024年省重大項目名單的通知》,清單共包含項目2000個,其中省重大項目600個、省綠色低碳高質量發展重點項目1400個,項目年度計劃投資1萬億元。省級重點項目主要涵蓋重大產業、基礎設施、民生保障三個類別。
四川
四川省發展改革委發布《2025年四川省重點項目名單》,共列項目810個、2025年預計完成投資7916.5億元。其中,續建項目532個,新開工項目278個。從行業領域看,基礎設施項目280個、產業項目445個、民生及社會事業項目61個、生態建設及環境保護項目24個。
遼寧
2025年遼寧省重點項目共350個,總投資超1.4萬億元,年度計劃投資超2100億元。今年初,遼寧省研究確定了2025年省重點項目和央地合作省級重點項目清單。一季度,遼寧省重點項目開復工216個,開復工率超70%,完成投資超450億元。央地合作省級重點項目開復工155個,開復工率71%,完成投資248億元。
湖北
從湖北省發展改革委獲悉,首批湖北2025年省級重點項目首批清單已出爐。今年,湖北省首批省級重點項目960個、總投資39877.8億元。
重點項目清單圍繞投資擴量提質行動,謀深謀實一批具有牽引性、標志性項目。今年,超百億的項目數量較去年首批增加10個,其中,500億元以上項目9個,總投資7745億元;100億元至500億元項目84個,總投資13439億元。
湖南
湖南省發改委公布2025年省重點建設項目、省重點前期工作項目名單。其中,省重點建設項目289個,省重點前期工作項目51個。
在126個重點基礎設施項目中,包括鐵路、高速公路、機場、水運在內的交通網絡體系建設的有52個。
產業發展項目突出強基礎,聚焦升鏈、延鏈、補鏈、強鏈,推動“4×4”現代化產業體系構建。
江西
江西省發展改革委發布關于下達2025年第一批省重點建設項目計劃的通知。根據通知,2025年第一批江西省重點建設項目安排544項,總投資14735億元,年度計劃投資3857億元。項目分為建成投產、續建、新開工及預備四類,涵蓋基礎設施、產業升級、公共服務等多個領域。
云南
云南省發展改革委發布《云南省2025年度省級重大項目清單》和《云南省2025年度“重中之重”項目清單》。省級重大項目1775個,總投資29222.75億元,年度計劃投資3972.62億元,項目數量、總投資較去年分別增長7.6%、6.6%。
清單涵蓋能源工業、能源以外工業、農業、數字經濟等產業類項目955個,基礎設施類項目820個,涉及城市基礎設施、水利、交通、社會事業、生態環保、口岸基礎設施等領域。
河南
河南省發展改革委印發2025年河南省重點建設項目名單,明確2025年省重點項目1037個、總投資約3.1萬億元,力爭年度完成投資1萬億元左右。項目涵蓋創新驅動能力提升、基礎設施建設、新型基礎設施建設、產業轉型發展、綠色低碳轉型、民生社會事業改善等六大領域。
河北
河北省發展和改革委員會印發河北省2025年省重點建設項目名單,項目共計703項,總投資1.5萬億元,涵蓋戰略性新興產業、傳統產業升級改造、農業產業化、現代服務業、基礎設施和社會事業等領域,助力暢通“大動脈”、建強產業鏈、做優生活圈。
福建
福建省發展和改革委員會印發2025年度省重點項目名單,確定2025年度省重點項目1550個,總投資4.3萬億元,年度計劃投資7150億元。其中,省在建重點項目1345個,省預備重點項目205個。
廣東
廣東省發展改革委發布《廣東省2025年重點建設項目計劃表》,共計2490個省重點項目。其中,重點建設項目1489個、重點建設前期預備項目1001個,分為基礎設施工程、產業工程、民生保障工程三大類。省重點建設項目總投資約9.2萬億元、年度計劃投資1萬億元。
海南
海南省發展改革委公布《海南省2025年重大項目投資計劃》。2025年安排省重大正式項目554個,總投資8540億元,年度計劃投資1647億元。其中,竣工項目121個、續建項目274個、新開工項目159個。此外,安排省級145個預備項目,總投資2485億元。
寧夏
寧夏回族自治區發展改革委印發《2025年自治區本級重點項目投資計劃》。今年,自治區本級重點項目以100個重點建設項目為投資增長的重要支撐,以52個重點預備開工項目為有力補充,以60個重點前期項目為穩固接續。其中,本級重點建設項目總投資3841億元,年度計劃投資680億元,包含產業項目71個、基礎設施項目16個、社會事業項目3個、民生改善工程10個。
新疆
從新疆維吾爾自治區發展改革委獲悉,2025年,新疆計劃實施重點項目500個,總投資3.47萬億元,年度計劃完成投資4069億元。今年自治區重點項目數量較2024年增加70個,年度計劃投資增加560億元以上。今年自治區重點項目牽引帶動作用更凸顯,投資結構更優化,項目總量和規模雙雙提升,總體數量、年度投資規模增幅為歷年最高。
西藏
為全力推動重點項目建設,西藏自治區發展和改革委員會印發《2025年全區重點建設項目計劃》。今年,西藏計劃建設重點項目170個,計劃完成總投資2030億元,為全區經濟社會發展注入強大動力。1至2月,全區重點項目建設開復工率達80.2%,完成投資129.1億元,占一季度計劃的48%。
民間資本參與空間擴大
根據國家發改委“全國向民間資本推介項目平臺”統計,截至8月22日,全國已推介項目12122個,總投資10.28萬億元。
國家發改委相關負責人表示,2025年將在交通、能源、水利等領域推出3萬億元優質項目,支持民企通過特許經營、委托運營等模式參與。

基建投資助推經濟高質量發展
該輪基建投資具有多重戰略意義:
其一,基建投資有助于增強國內經濟體系的穩定性和韌性,通過擴大有效投資應對國際環境中可能出現的不確定性,為經濟平穩運行提供堅實支撐。
其二,伴隨新基建、數字基建比重的不斷提升,本輪投資將推動產業基礎高級化與產業鏈現代化,加快形成新質生產力,為經濟高質量發展注入新動能。
其三,重大基礎設施項目在邊疆和薄弱區域的加快布局,將有力促進區域協調發展和城鄉融合,進一步優化國家發展格局,推動共同富裕邁出實質性步伐。
地址:榮成市鄒泰南街298號
電話:0631-7588018
傳真:0631-7588018
E-mail:rcjzjt@163.com
/images/map.jpg)
掃碼關注官方微信